
中文名称:氟哌噻吨EP杂质I
中文别名:N/A
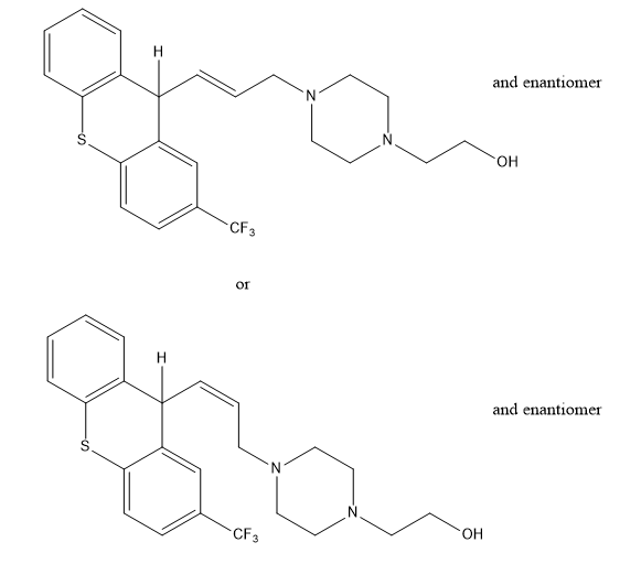
英文名称:Flupentixol Impurity I
英文别名:N/A
Cas:N/A
分子式:C23H25F3N2OS
分子量:434.52
品牌:CATO
货号:C4X-189513
货期:现货
纯度:>95%
规格:25mg
有效期:3年
储存温度:2℃ ~ 8℃
性状:N/A
形态:固态
GHS标识:N/A
配套法规:N/A
CATO标准品中的氟哌噻吨EP杂质I是在ISO17034标准物质生产者能力认证体系下研制的分析标准品。
药物标准品作为药物质量分析过程中必备的质量标尺,其量值准确与否关乎药物安全。当前药物标准品大多仅附有简单的产品质量说明书,为确保药物研究准确性,部分检测实验室需要消耗一部分产品,使用药典指定的方法进行纯度的重复检测验证,消耗人力物力。
同时,药物杂质研究是药物评审的重要环节。由中检院发布的《药品注册检验工作程序和技术要求规范(试行)》(2020年版)明确规定:“申请人应当在申请注册检验时提供相应标准物质及研究资料,所提供的标准物质的数量应能满足检验需求”。杂质研究不够充分成为导致药物评审不通过的常见因素。
佳途科技是国内首家通过ISO17034国际标准物质生产资质运营的企业,也是目前全球唯一一家通过国内外双ISO17034体系认证的标准样品研制企业,拥有有机分析标准样品全品类的纯品及标液形态产品研制资质。(认证查询网址:ANAB:http://search.anab.org/;?CNAS:https://www.cnas.org.cn/rkcx/2013/03/728834.shtml。)
通过ISO17034体系,佳途科技建立了卓越的标准物质质量管控体系,涵盖标准品的生产策划、候选物的制备、均匀性研究、稳定性研究、特征值的确定、发证、库存、产品销售、产品使用跟踪与技术支持等环节。CATO标准品充分满足体系所要求的均匀性、稳定性和可溯源性的严格要求,顺利帮助众多药企客户通过了药物上市审批。
CATO标准品将提供全套的产品质量说明书,包括图谱、结构符合性报告等,具体检测方法包括核磁、质谱、液相、气相、红外、紫外、水分、炽灼残渣等,省去客户收货后的再次确认,同时结构符合性报告可作为药物质量研究辅助评审材料。

为确保CATO标准品氟哌噻吨EP杂质I运输过程的安全性,我们采用高标准制作产品包装,经检测可以达到20米防摔的保护效果。
※高强度PP材质产品衬管,具有较高的耐冲击性,机械性质强韧,抗多种有机溶剂和酸碱腐蚀;
※衬管采用防盗瓶盖,顶端内壁上设有环状防漏圈,下端连接一个防盗环,确保产品首次开启;
※产品标签采用PP合成纸,防撕拉,防破损,防潮;
※产品内部填充海绵,避震,抗摩擦。

在CATO标准品氟哌噻吨EP杂质I的运输过程中,我们会采取合理的储存方式。CATO全球启用专业干冰运输和坚持使用厚壁的泡沫箱以及高密度冰袋配合运输,确保您收到的标准品性质完好。
※运输测试:压力测试、防爆测试、跌落测试;
※快递合作伙伴:FedEx(国外),顺丰(国内);
※发货时效:16:00前订单当天发货

佳途科技标准品商城是国内唯一实现标准品-法规方法-行业数据全面关联的标准品综合服务平台,致力于帮助客户依据法规锁定产品,集中购买,减少中间环节,告别繁琐采购流程。您可以在标准品商城轻松购买到氟哌噻吨EP杂质I。采购链接:www.cato-chem.com
※产品-方法-数据强关联:通过产品、方法或数据任一端信息,便可迅速匹配出相关结果;
※产品-方法-数据深配套:集合全球药典、国内外法规全套内容;
※产品资源丰富:汇聚全球优质品牌,涵盖分析检测采购需求,货比三家;
※严格质量把关:入驻品牌均通过10年从业团队严格筛选,确保高品质门槛;
※资深采购指导:根据客户需求提供完整的采购建议,严格符合法规要求;
※项目进度即时了解:客户可通过平台实时了解项目进度,确保自身工作有序推进;
※透明便捷物流:16:00前下单,当天发货(现货),物流信息全程可循;
※合成定制支持:集合国内不同领域专长的研发团队,满足个性化、高难度产品合成需求。